Mesurer les dioxines avec l’appareil de mesure GSA PM4-2

Mesure des dioxines PM4-2

Mesurer les dioxines avec GSA Gravikon PM4-2

Si une contamination par les dioxines est suspectée, une mesure des dioxines doit être effectuée rapidement. Notre appareil de mesure PM4-2 est conçu pour mesurer les dioxines, les PCDD et autres composés de type dioxine. Ces mesures permettent de tester très précisément les niveaux dangereux de dioxines afin de vérifier avec précision les éventuels cas suspects.

Pour développer le concept de mesure optimal, n’hésitez pas à nous contacter, nos ingénieurs de mesure se feront un plaisir de vous conseiller.

Lire la suite

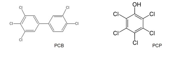
Le système d’échantillonnage des poussières PM4-2 mesure les PCB

Échantillonnage des poussières PM4-2

Échantillonneur PM4-2 pour les échantillons de poussière

Le système d’échantillonnage des poussières PM4-2 mesure les PCB. Il est très utilisé pour une mesure avec échantillonnage des poussières.

Il existe plusieurs valeurs de référence pour les PCB et les PCP, qui peuvent être échantillonnés avec le système d’échantillonnage des poussières PM4-2.

Lire la suite